- Home
- News
News
News
2026. 05. 07: MILD 연소 조건 내 메탄/수소 부상화염 관련 논문 (Title: Numerical investigation of oxidizer dilution effects on autoignited laminar lifted methane/hydrogen jet flames) 이 Combustion Science and Technology(JCR 상위 47.2%)에 Accept 되었습니다! 해당 논문은 MILD combustion 내에서 laminar lifted CH4/H2 flame의 counterintuitve 한 현상을 다룬 연구로서, 김민규 학부연구생, 포스코홀딩스의 김경택 박사님, 그리고 울산과학기술원의 유춘상 교수님 그룹과 공동으로 연구를 수행했습니다.

2026. 03. 10: 승원 학생이 학부인턴으로 들어왔습니다. 환영합니다!
2026. 01. 27: On-the-fly Reduced order modeling 관련 논문 (Title: Time-dependent-bases with local CUR decomposition method for accelerating turbulent combustion simulations) 이 Combustion and Flame (JCR 상위 5.1%)에 Accept 되었습니다! 해당 논문은 선행 연구인 반응성 유동에 대해 적용할 수 있는 TDB-CUR 알고리즘에 local manifold를 적용해 그 효율을 높인 연구로서, 울산과학기술원의 유춘상 교수님 그룹과 Sandia National Lab.의 Jackie Chen, Cristian Lacey 박사님들과 공동으로 연구를 수행했습니다.

2025---------------------------------------------------------------------------------------------------------------------------------------------------------
2025. 11. 24: 영재, 신빈 학생이 학부인턴으로 들어왔습니다. 환영합니다!
2025. 11. 20: 정기성 교수가 한국연소학회가 수여하는 '제1회 귀뚜라미 젊은연소공학인상'을 수상했습니다. 이 상은 만 40세 이하의 전임교원, 국가 및 공공연구기관 연구자 등을 대상으로 연소 및 기계 분야 학문 발전에 기여하고 한국연소학회 학술 활동에 적극적으로 참여한 공로로자에게 수여하는 상입니다. (https://www.fnnews.com/news/202512031927599955)
2025. 09. 03: 경언 학생이 학부인턴으로 들어왔습니다. 환영합니다!
2025. 07. 08: 유창 학생이 학부인턴으로 들어왔습니다. 환영합니다!
2025. 02. 14: 수경 학생이 학부인턴으로 들어왔습니다. 환영합니다!
2025. 01. 14: On-the-fly Reduced order modeling 관련 논문 (Title: Accelerating high-fidelity simulations of chemically reacting flows using reduced-order modeling with time-dependent bases) 이 Computer Methods in Applied Mechanics and Engineering (JCR 상위 2.6%)에 Accept 되었습니다! 해당 논문은 CUR 기반의 시간의존기저 차원축소모델을 반응성 유동 계산에 적용 및 개선, 검증한 논문으로서 훈련 데이터셋 없이도 기존 연소 해석 대비 최대 100배 이상의 계산시간 단축을 보였습니다. 해당 논문은 Sandia National Lab.의 Jackie Chen, Cristian Lacey 박사님과 University of Pittsburg의 Hessam Babaee 교수님과 공동연구를 수행했습니다.
2024---------------------------------------------------------------------------------------------------------------------------------------------------------
2024. 12. 18: 준석 학생이 학부인턴으로 들어왔습니다. 환영합니다!
2024. 10. 22: 경호, 민규 학생이 학부인턴으로 들어왔습니다. 환영합니다!
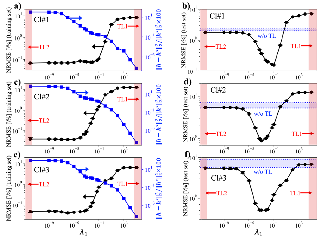
2024. 10. 08: Transfer learning 관련 논문 (Title: Transfer learning for predicting source terms of principal component transport in chemically reactive flow) 이 Data-Centric Engineering (JCR 상위 25%) 에 Accept 되었습니다! 해당 논문은 ANN 학습 시 데이터가 희소한 조건에서 비슷한 조건의 데이터를 전이시켜 예측 성능을 향상시키는 전이 학습 (Transfer Learning)을 데이터 기반 연소 해석에 적용한 논문으로서, 전이 학습 미 사용 모델 대비 약 10배 가까이의 데이터를 절약할 수 있었습니다. 해당 논문은 Sandia National Lab.의 Jackie Chen, Bruno Soriano 박사님, 그리고 North Carolina State University의 Tarek Echekki 교수님과 공동연구를 수행했습니다.

2024. 10. 02: 병완, 해람 학생이 학부인턴으로 들어왔습니다. 환영합니다!
2024. 09. 18: 홈페이지 개설
2024. 09. 02: 정기성 박사 국립부경대학교 조교수 임용