국립부경대학교 | 토목공학전공
대표홈페이지
부경포털
HOME
SITEMAP
국립부경대학교
토목공학전공
전공안내
전공소개
연혁
교수진 소개
연구실소개
구조설계연구실
수자원시스템연구실
공간정보연구실
해안해양공학연구실
시설물유지관리연구실
물관리연구실
지반시스템연구실
eXtreMe 지반공학 연구실
첨단 콘크리트 구조 성능 연구실(ACSP Lab)
겸임교수진 소개
찾아오시는길
입학정보
교과과정
교육목적 및 인재상
교과과정
전공교육과정
구조공학
수자원/항만
지반공학
건설관리
환경공학
측량 및 지형공간정보학
학사일정
졸업요건
전공시간표
공학인증제도
공학교육인증제 소개
공학교육인증의 효과
학습성과
공학교육인증제FAQ
취업안내
관련자격증
기술사
기사(토목 분야)
도시·교통 분야
기사(정보처리 분야)
졸업 후 진로
공무원
공기업
산업체
연구소
취업게시판
커뮤니티
공지사항
게시판
자주묻는질문
수업/수강신청/성적/졸업
휴복학
장학금
부/복수전공
학교생활/기타
전공갤러리
전공커뮤니티
학생회
동아리
동문회
방재연구소
연구소장 인사말
연구소 소개
연구분야 및 프로그램
사업분야
조직운영
연구소 연구인력
대학원
공지사항
전체메뉴 열기
전체메뉴 열기
확대
축소
프린트
홈
커뮤니티
공지사항
커뮤니티
공지사항
게시판
자주묻는질문
· 수업/수강신청/성적/졸업
· 휴복학
· 장학금
· 부/복수전공
· 학교생활/기타
전공갤러리
전공커뮤니티
· 학생회
· 동아리
· 동문회
공지사항
작성자,작성일,첨부파일,조회수로 작성된 표
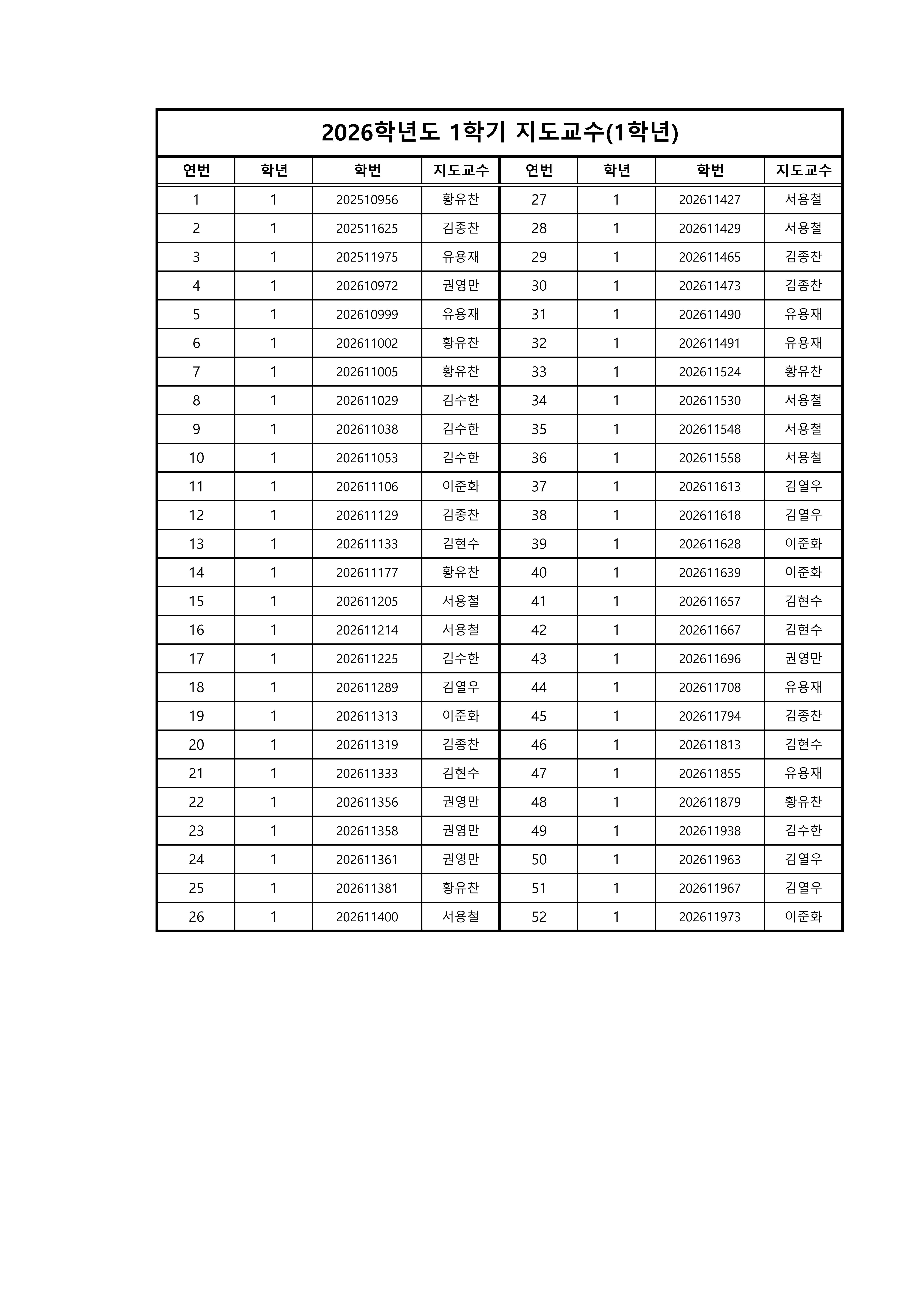
2026학년도 1학기 지도교수 안내
작성일
2026-03-10
조회수
124
첨부파일
목록보기
다음
2026-1학기 국가장학금 2차 신청 안내
이전
2026년 부산광역시 지적측량 경진대회 경진분야(대학생부) 신설에 따른 수요조사 알림
비밀번호 입력
×
비밀번호 확인이 필요합니다.
비밀번호 입력
×
비밀번호 확인이 필요합니다.